題目目次図表一覧第1章第2章第3章第4章第5章引用文献謝辞

第1章
概説


地球上の植生被覆のうち大きな割合を占める森林での様々な物質移動過程に関する諸現象は、現在、森林水文学や接地気層の気象学の分野において世界的に関心がもたれており、近年、しばしば議論されている地球規模での気候変動など、環境問題を明らかにするという点からも、重要視されている。

本研究の究極の目的は、森林におけるCO2およびH2Oの移動過程が、どのような物理的・生理的メカニズムによって決定されるのかを明らかにし、移動速度が環境条件でどのように変動するのかを明らかにすることである。このために、具体的には環境条件から森林群落におけるCO2およびH2Oの移動速度を推定するためのモデルを、観測データによって検証しながら構築し、モデルを用いて、様々な環境条件下におけるCO2およびH2O移動速度の変化を予測することを目標とする。

従来から行われてきた森林におけるCO2およびH2O移動に関する研究には、大きく分けると次のような6種類がある。つまり、森林水文学の分野での森林流域の降雨−流出応答に関する研究(e.g., 福嶌, 1987)、土壌中の飽和・不飽和浸透流に関する研究(e.g., Freeze, 1972; 谷, 1985; 大手, 1992)、土壌水・地下水・渓流水の溶存pCO2濃度形成に関する研究(e.g., 浜田ら, 1996)、森林樹冠上の鉛直フラックスに関する研究(e.g., Baldocchi et al., 1987; 田中ら, 1996)、植物学の分野での個葉における光合成・蒸散の環境応答特性に関する研究(e.g., Jarvis, 1976; 小杉ら, 1995)、森林生態学の分野での炭素循環に関する研究(e.g., Saito, 1977)等がある。一方、近年、接地気層の気象学の分野では、大気大循環モデル(GCM)においてよりよい精度を得るために植生の影響を考慮する必要が認識され、これをGCMに導入する試みがなされている(e.g., Sellers et al., 1986; Sellers et al., 1995)。

福嶌(1987)は、森林におけるH2O移動を森林流域における降雨−流出応答という形でとらえ、森林流域におけるそれぞれの部分のH2O移動過程を統合的に扱う水循環モデル(HYCYMODEL)を構築し、遮断蒸発モデル(鈴木ら, 1979)を組みこんで用いた。しかしながら、流域の水収支と降雨−流出応答の解析に主眼がおかれたため、入力となる蒸散速度の季節変化を三角関数で近似して用いるなど、植生−大気間におけるH2O移動過程の解明のためには、不十分である。

森林における植生−大気間のH2O移動速度は、森林樹冠上におけるH2Oフラックス観測によって測定することができる。Verma et al.(1986)、Baldocchi et al.(1987)、Leuning and Moncrieff(1990)、Hollinger et al.(1994)、Tanaka et al.(1994)、田中ら(1996)等は、渦相関法を用いて、森林あるいは果樹園樹冠上においてCO2およびH2Oフラックスを測定し、その結果を報告している。

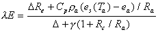
一方、森林からの蒸発散について、現在もっともテストされたモデルはPenman-Monteith式(Monteith, 1965)である。Penman-Monteith式は、有効エネルギー、気温、水蒸気圧より、蒸発散量を推定する式であり、次式で表される。次式は森林を大きな一枚の葉とみなした単層モデルということが出来る。

(1.1)

ここで、lは気化潜熱(J g-1)、Eは蒸発散速度(g m-2 s-1)、Dはdes(Ta)/dTa (hPa ℃-1)、Reは有効エネルギー(W m-2)、Cpは定圧比熱(J g-1 K-1)、raは空気の密度(g m-3)、es(Ta)は温度Taにおける飽和水蒸気圧(hPa)、Taは気温(℃)、eaは大気の水蒸気圧(hPa)、gは乾湿計定数(hPa ℃-1)、Raは空気力学的抵抗(s m-1)、Rcは群落抵抗(s m-1)である。しばしば、群落抵抗および空気力学的抵抗の代わりにそれらの逆数である群落コンダクタンスおよび空気力学的コンダクタンスが用いられる(e.g., Dolman, 1988)。

Penman-Monteith式中のパラメータである群落抵抗あるいは群落コンダクタンスは、個葉における気孔抵抗あるいは気孔コンダクタンスの積算されたものであるが、樹冠が湿っている場合にはゼロとされ、その場合、式は純粋に空気力学的な項のみで記述されることが出来る(Rutter et al., 1971)。しかしながら、樹冠が乾いている場合には、葉の生理的な環境応答特性によって複雑に変化する(e.g., Tan and Black, 1976)。Stewart and Bruin(1984)は、Thetfort林において群落コンダクタンスは日射量、飽差、土壌の水分欠損に影響されることを示している。Lindroth(1985)も同様に、スコットマツ林において、群落コンダクタンスの季節変化の調査を行い、日射量と飽差によって、その大部分が説明されることを示した。また、Stewart(1988)は、マツ林において、多変量解析を行い、群落コンダクタンスの環境条件への依存性をモデル化している。

Lindroth(1986)は、Waggoner and Reifsnyder(1968)によって構築された複層モデルを、森林構造が十分に記述されているマツ林に適用し、種々の環境要因に対するモデルの感度分析をしている。その結果、蒸散速度の変化には純放射量および飽差の変化が大きく影響を与えていることを示した。また、田中(1998)は、詳細な森林群落構造の調査をもとに樹冠上の気象要素から森林内における気象要素の鉛直分布を算出し、個葉における気孔コンダクタンスモデル(Jarvis, 1976)と生化学的光合成モデル(Farquhar et al., 1980)を基にした多層モデルを構築した。同様のモデルは、 Kim and Verma(1991)、Leuning et al.(1995)等も構築しているが、このような多層モデルは、森林群落の詳細な構造データを必要とする。

また、大気大循環モデル(GCMs)中で用いる陸面のパラメータとして移動速度をあつかうために、Sellers et al.(1986, 1995)は単純陸面モデル(SiB)を構築し発展させた。SiBは葉面積指数、植生の型、日射量、土壌水分量、気温、湿度の関数として大規模での炭素同化速度および顕熱・潜熱フラックスを経験的に表したものである。

森林におけるCO2およびH2Oの移動過程として、植物−大気、土壌−大気、植物−土壌、土壌−渓流間でのCO2およびH2O交換が考えられる。上述のように森林におけるCO2およびH2Oの移動速度の測定法は、それぞれの部分ごとにほぼ確立している。それらの物理過程を表現するモデルは多く提案されており、各部分での移動量を統合することによって森林におけるCO2およびH2O移動を定量的に評価することが出来ると考える。本研究では、森林における主要なCO2およびH2O交換の場で移動速度を実測することによって、CO2およびH2Oの森林中での移動現象を統合的に把握し、これをモデル化する。

自然条件下では、大気・植物・土壌それぞれの複数の要因が刻々と複雑に変化しており、それに応じて、CO2およびH2O移動速度も動的に変化する。このため、変動に対応できるモデルを構築するためには、実際に様々な環境条件下において、主要なCO2およびH2O交換の場での移動速度の経時変化を長期的に測定し、様々な環境要因の観測データを蓄積することが必要である。また、測定結果を単に記述するだけでなく、各部分における既存のモデル、あるいは独自のモデルを統合することによって、森林におけるCO2およびH2Oの流れを統合的に取り扱うことの出来るモデルを構築することが重要である。このように、観測結果にモデルを適用することによって、森林におけるCO2およびH2O移動速度の環境応答を統合的に解明することを目指す。

本研究では、これらの点を念頭において、森林においてCO2およびH2O交換の観測を行った。また、これと同時に、種々の水文・気象環境要因との関係を解析し、CO2およびH2Oの移動過程に関する森林群落の物理的・生理的特性を明らかにする。

第2章では、森林流域における土壌−渓流間のH2O移動を降雨−流出応答という形で解析する。森林流域におけるH2Oの移動過程を概説すると以下のように記述することが出来る。降水として大気から森林流域内へ移動したH2Oは、森林樹冠部によって一部捕捉されそのまま蒸発によって、大気中へと移動するもの(=遮断蒸発)と、森林土壌へと移動するもの(=地上到達降雨)に分けられる。森林土壌へと移動したH2Oは、森林土壌の保水・浸透特性に応じて、土壌中あるいは、土壌表面を移動する。土壌中のH2Oの一部は、植物の根から植物体内へと移動し、蒸散によって大気中へと移動する。土壌中に残ったH2Oは、流路を通じて、流域外へと移動(=流出)する。

本章では、中華人民共和国江西省九連山の亜熱帯常緑広葉樹林流域における降水量および、流出量の観測を基にして、森林流域におけるH2O移動過程を降雨−流出応答の面からとらえる。このような降雨−流出応答の解析に広く用いられているタンクモデル型の水循環モデル(HYCYMODEL)を用いて解析を行い、本対象地域における流出応答の特性を日本国内のさまざまな地質における代表的な流域と比較・考察を行う。HYCYMODELは、森林流域における各移動過程をいくつかのタンクによって表現したタンクモデル型の流出モデルである。HYCYMODELを用いて森林群落におけるH2O移動過程をシミュレートすることによって、主に森林土壌内におけるH2Oの貯留量、成分別の流出を明らかにすることが出来る。

森林流域における降雨−流出過程においては、主なH2O移動現象の場が森林土壌中であり、その特性の決定要因は、その場の気候、地質、地形、森林の規模、土壌の水分特性、植生といった比較的定常な条件である。森林土壌からのH2O流出において重要な問題は、降雨に対してすぐに流路へと流出する応答の速い成分(直接流出)と、土壌中をゆっくりと浸透してからやや遅れて流路へと流出する応答の遅い成分(基底流出)のそれぞれがどのような量、比率で、どのような時期に発生するかという点である。しかしながら、直接流出と基底流出の両者を区別して直接測定することは、現実的に不可能である。それらを定量的に解析するためには、森林土壌におけるH2O移動現象を記述する数値モデルを用いる必要がある。森林流域におけるもう一つの重要な過程である蒸発散過程は、日射量、気温、湿度などの刻々と変動する水文・気象条件によって制御され、動的に変動する。通常、降雨−流出特性に関する研究では、蒸発散は、対象流域ごとに大きな各年の変動がないものと見なされ、刻々と変動する水文・気象条件による蒸発散量の変動は無視される。第2章においても、蒸発散速度は、各月毎の平均的な水文・気象条件の測定値より

平均的な年における値として、算出したものを用いる。しかし、森林群落におけるH2Oの移動過程をより詳細に、かつ、各部分での移動を統合的に取り扱うためには、蒸発散過程におけるH2O移動現象は、変動する水文・気象条件によって制御されるものとして取り扱う必要がある。この点を考慮した森林群落におけるH2O移動過程に関しては、第3章および第4章で取り扱う。

第3章では、蒸散によるH2O移動に加えてCO2の移動を研究対象に追加し、森林における蒸散および光合成過程のモデル化を行う。森林における光合成および蒸散によるCO2およびH2O移動は、森林を構成する個々の葉において起こり、それぞれの葉をとりまく環境条件によって移動速度は制御される。したがって、森林においては、個々の葉の光合成・蒸散特性に加えて、それぞれの葉をとりまく環境条件を決定する森林群落の構造もまた、環境条件への光合成・蒸散速度の応答特性の決定要因となる。つまり、森林群落においては、群落を構成する樹種構成・樹齢構成、立木密度・葉面積指数・群葉密度といった群落構造などが、光合成・蒸散速度の環境応答特性を決定する上で重要な要因となり、それぞれの森林群落はその特性に応じた環境応答をする。植物の光合成・蒸散活動は、主に、その場の環境条件、すなわち、日射量、気温、湿度といった気象条件によって制御される。したがって、これら水文・気象条件の変動にともなう光合成・蒸散速度の変化の応答関係をモデル化する必要がある。

森林群落と大気とのCO2およびH2O交換量は、森林群落樹冠上において、それらの鉛直移動速度(すなわち、フラックス)の測定によって知ることが出来る。また、樹冠上 CO2およびH2Oフラックス観測によって、森林群落と大気のCO2およびH2O交換速度の環境応答特性を明らかにすることが出来る。これらの特性の変化は、数値モデルによって定量的に評価できる。

本章では、滋賀県南部に位置する桐生水文試験地ヒノキ林群落を対象として、森林樹冠上において、水文・気象要素の観測とともにCO2およびH2Oフラックスを観測し、対象森林群落の光合成・蒸散速度の環境応答特性を明らかにする。さらに、観測から導き出される水文・気象条件とCO2およびH2Oフラックスの関係をもとに、森林におけるCO2およびH2O交換過程のモデル化を行う。このモデルを用いることによって、森林において比較的容易に測定することのできる水文・気象要素から、森林群落全体としての光合成・蒸散速度の時系列変化が算出可能になる。この際、個葉における光合成・蒸散速度の環境応答に関する既存の研究成果を群落規模に拡張して用いる。すなわち、森林群落を構成する個々の葉におけるそれぞれの環境条件は、群落の立体構造によって、それぞれの位置毎に多様であると考えられるが、それらの環境条件のうちその森林群落における光合成・蒸散速度を決定する代表的な環境条件を仮定し、森林群落全体がその代表的な環境条件に従うものと仮定する。この仮定によって、個葉におけるCO2およびH2O交換過程に関する既存の見地を大きく改変することなく群落に拡張することができる。

構築されたモデルを用いて、桐生水文試験地ヒノキ林群落における年間を通じた環境条件の観測結果から、年間を通した光合成・蒸散速度の時系列変化を計算する。この手法により、光合成・蒸散速度の季節的な変動および、年間の収支を見積もることが可能となる。また、入力する環境条件値にさまざまな予測値・仮想値等を用いることにより、さまざまに予測される将来の環境変動に対する植生の応答を見積もることが可能となる。

第4章では、近年の測定技術の進歩によって、その可能性が指摘されてきた樹冠上CO2およびH2Oフラックスの長期観測の試みと第3章で構築されるモデルを用いた測定結果の解析について述べる。

樹冠上CO2およびH2Oフラックスの長期観測は、測定器械の耐水性、分解能、データ収録に関する問題、また、森林群落という大きな粗度をもつ地表面上での拡散係数の精密な見積もりなど、多くの技術的困難を伴う。第3章では、このため、樹冠上での短期間のCO2およびH2Oフラックス観測結果から、比較的簡便に測定できる水文・気象要素の観測データを用いて、フラックスを推定した。現在は、測定機器に関する技術的な問題が解消されてきたが、長期的に多くの地点においてフラックスの無人測定を行うのは困難である。そこで各季節にわたっての通年あるいは、それに準じた期間の連続観測の結果から、第3章で行うようにモデルパラメータを決定することによって、より簡便に測定される気象データを用いて、フラックスの推定が可能となる。

1997年と1998年に、ロシア連邦サハ共和国ヤクーツク市(62.08°N、129.75°E)近郊のカラマツ林群落の樹冠上において、CO2およびH2Oフラックス観測を比較的長期にわたって連続的に行った。本章では、この観測の結果を用いて、植物−大気間におけるCO2およびH2O移動速度の季節的な変動を解析し、CO2およびH2Oの収支を求める。

また、観測の結果に第3章で示したモデルを適用することによって、CO2およびH2Oフラックスの再現計算を行い、これらの環境応答特性について解析を行う。対象とする森林は落葉性のカラマツ林であるため、開葉や落葉などによって明らかに森林群落の光合成・蒸散特性は季節的に変化するものと思われる。このため、これらの特性の季節変化をモデル中のパラメータの変化として定量化し、対象森林における植生の変化との関連を考察する。

最後に第5章では、総括として、第4章までで示された研究についてまとめ、今後の課題をあげる。


題目目次図表一覧第1章第2章第3章第4章第5章引用文献謝辞

つづきを読む

本ページに掲載された内容の無断での複写・転載を禁止します。
田中広樹